Fairly Valued Security

When the market price of a security is equal to its true value

What is a Fairly Valued Security?

A security is said to be fairly valued if its market price is equal to its true value. Since the true value of a security is usually not known, the question of whether a security is fairly valued lacks a definite answer.

Most securities are valued using some variation of the Discounted Cash Flow (DCF) method. The DCF method approach states that the price of a security is equal to the present discounted value of all cash flows generated by the security in the future.

Fairly Valued Security

Where:

  • Returnie is the expected return generated by the security in period i.
  • rie is the expected rate of interest in period i.

The above equation states that the price of a T period security in period 0 is equal to the present discounted value of all the returns generated by the security between period 1 and period T. At time period 0, there are 2T unknowns that we need to estimate before we can apply the Discounted Cash Flow method. DCF models are used extensively in accounting, economics, and finance to find the intrinsic value of securities.

Fairly Valued Security – Illustrative Examples

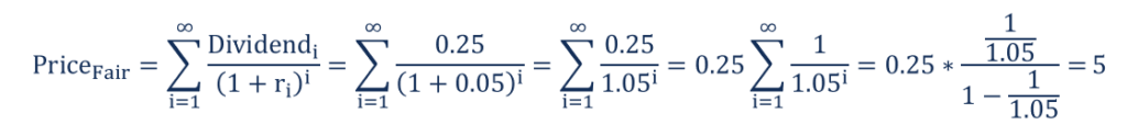
Consider the stock of Company ABC whose market price is $4. An ABC stock pays out a dividend of $0.25 in each period. The market rate of interest is 5%. Therefore,

Fairly Valued Security - Example

The fair price of company ABC’s stock is $5. Therefore, the stock is undervalued at present.

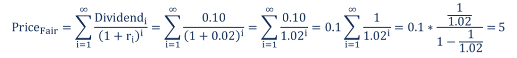
Consider the stock of Company XYZ whose market price is $10. XYZ is listed in the stock exchange of Country Alpha. An XYZ stock pays out a dividend of $0.10 in each period. The current market rate of interest is 10%. However, some investors expect the central bank of Alpha to cut interest rates down to 2%.

  • Investor A believes that interest rates will remain at 10%. For investor A, the fair price of an XYZ stock is the following:

Example - Investor A

  • Investor B believes that interest rates will be cut to 2%. For investor B, the fair price of an XYZ stock is the following:

Example - Investor B

  • Investor C believes that interest rates will be cut to 2%. In addition, investor C expects Company XYZ to triple dividend payments from period 2 onwards. For investor C, the fair price of an XYZ stock is the following:

Example - Investor C

Investor A and Investor B believe that Company XYZ’s stock is overvalued whereas Investor C believes that Company XYZ’s stock is undervalued. Such a difference in beliefs is why financial markets can exist. If everyone believed and expected the same thing, there would be no scope for trade.

It is important to note that although Investor B and Investor C share the same belief about interest rates, they maintain different beliefs about dividend payouts. In the example described above, Investor C will be buying XYZ stocks whereas investors A and B will be selling XYZ stocks.

Fairly Valued Security – Currency

The currency of a country is valued fairly relative to the currency of another country if there is no scope for arbitrage with respect to real assets. Consider the following example:

The currency of Country A is alpha, and the currency of Country B is beta. The current exchange rate is 1 alpha = 0.5 beta. The price of a car in country A is 1,000 alphas.

If the alpha is fairly valued relative to the beta, then the price of the same car in country B must be 500 betas. If the price of the car in Country B was lower than 500 betas, an arbitrageur can make a profit by buying cars in Country B and selling them in Country A.

Similarly, if the price of the car in Country B was higher than 500 betas, then an arbitrageur can make a profit by buying cars in Country A and selling them in Country B. In general, real assets (like cars) come with significant shipping costs. Therefore, arbitrageurs need significant price differences to make profits.

Additional Resources

Thank you for reading CFI’s explanation of a fairly valued security. CFI is the official provider of the Financial Modeling and Valuation Analyst (FMVA)™ certification program, designed to transform anyone into a world-class financial analyst. To keep learning and developing your knowledge of financial analysis, we highly recommend the additional resources below:

0 search results for ‘